-
-
por
Ags Sports
Martes 10 de mayo 2016
Todo se tiene listo para que este miércoles por la tarde
arranquen las primeras competencias dentro del Campeonato Nacional de Pista Juvenil
y Élite que se estará realizando en Aguascalientes, en el Domo Bicentenario,
con una gran afluencia de ciclistas de todo el país, que buscarán quedarse con
los primeros lugares del evento.
arranquen las primeras competencias dentro del Campeonato Nacional de Pista Juvenil
y Élite que se estará realizando en Aguascalientes, en el Domo Bicentenario,
con una gran afluencia de ciclistas de todo el país, que buscarán quedarse con
los primeros lugares del evento.
Las actividades arrancarán a partir de las 15 horas, con el
calentamiento, para que 50 minutos después, arranquen las primeras clasificaciones
en las categorías de velocidad por equipos en categorías juveniles B y C así
como en las Élite.
calentamiento, para que 50 minutos después, arranquen las primeras clasificaciones
en las categorías de velocidad por equipos en categorías juveniles B y C así
como en las Élite.
Las primeras finales del Nacional se tendrán alrededor de
las 17 horas, en la prueba de persecución por equipos en 3 y 4 kilómetros, para
cerrar el día con las finales de velocidad por equipos en 2 y 3 vueltas.
las 17 horas, en la prueba de persecución por equipos en 3 y 4 kilómetros, para
cerrar el día con las finales de velocidad por equipos en 2 y 3 vueltas.
Para el jueves 12 de mayo, las competencias, arrancarán a
partir de las diez de la mañana, con las finales de carreras por puntos en 30 y
40 vueltas, los 500 metros en categoría, así como las de un kilómetro y por
puntos en 60 y 120 vueltas.
partir de las diez de la mañana, con las finales de carreras por puntos en 30 y
40 vueltas, los 500 metros en categoría, así como las de un kilómetro y por
puntos en 60 y 120 vueltas.
Se tomará un receso para la comida para regresar a las 16
horas, con las clasificaciones en velocidad con los 8 mejores tiempos, quienes
avanzarán a los cuartos de final que se tendrán en seguida y continuar con las
finales de Scratch en 40 y 60 vueltas, para finalizar a las 20 horas con la
premiación de los dos primeros días de competencia.
horas, con las clasificaciones en velocidad con los 8 mejores tiempos, quienes
avanzarán a los cuartos de final que se tendrán en seguida y continuar con las
finales de Scratch en 40 y 60 vueltas, para finalizar a las 20 horas con la
premiación de los dos primeros días de competencia.
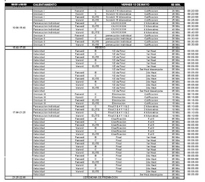
El viernes 13 de mayo, arrancará las diez de la mañana con
la clasificación de Ómnium I en su fase de Scratch de 7.5, 10 y 15 kilómetros,
así como la de persecución individual Ómnium II, para tomar receso.
la clasificación de Ómnium I en su fase de Scratch de 7.5, 10 y 15 kilómetros,
así como la de persecución individual Ómnium II, para tomar receso.
A las 17 horas continuarán las semifinales de Velocidad y
con Ómnium III con prueba de eliminación, para cerrar el día con las finales de
velocidad y la ceremonia de premiación, esto a las 22 horas.
con Ómnium III con prueba de eliminación, para cerrar el día con las finales de
velocidad y la ceremonia de premiación, esto a las 22 horas.
El sábado 14 de mayo, a las diez de la mañana, arrancarán clasificaciones
en Ómnium IV en su fase de 500 metros y 1 kilómetro, además del Keirin y Ómnium
V con vuelta lanzada y la final de persecución individual.
en Ómnium IV en su fase de 500 metros y 1 kilómetro, además del Keirin y Ómnium
V con vuelta lanzada y la final de persecución individual.
Después de un receso para la comida, a las 17 horas, se
reanudarán las finales de persecución individual en 2 kilómetros, el Ómnium VI
con carrera por puntos y cerrar con el keirin y la ceremonia de premiación
cerca de las 22 horas.
reanudarán las finales de persecución individual en 2 kilómetros, el Ómnium VI
con carrera por puntos y cerrar con el keirin y la ceremonia de premiación
cerca de las 22 horas.
Finalmente, el domingo, cerrará la actividad con las finales
en vuelta detenida, scratch en 20 y 24 vueltas, carrera por puntos en 40 y 80
vueltas, así como madison en 30 y 40 kilómetros, a partir de las diez de la
mañana.
en vuelta detenida, scratch en 20 y 24 vueltas, carrera por puntos en 40 y 80
vueltas, así como madison en 30 y 40 kilómetros, a partir de las diez de la
mañana.
La clausura final del Campeonato Nacional se tendrá a las
14:30 horas, donde se entregará las últimas medallas del evento.
14:30 horas, donde se entregará las últimas medallas del evento.
El evento es importante para muchos pedalistas, ya que será
selectivo para diversos eventos internacionales, el principal de ellos, los
Juegos Olímpicos de Río de Janeiro, ya que es el último evento del proceso de
selección nacional para la prueba de ómnium varonil.
selectivo para diversos eventos internacionales, el principal de ellos, los
Juegos Olímpicos de Río de Janeiro, ya que es el último evento del proceso de
selección nacional para la prueba de ómnium varonil.
De igual forma será parte del proceso de selección de
atletas para el Campeonato Panamericano de Pista Élite 2016, el cual se
realizará en el mes de septiembre en Venezuela y en el que México tiene grandes
posibilidades de colgarse varias medallas.
atletas para el Campeonato Panamericano de Pista Élite 2016, el cual se
realizará en el mes de septiembre en Venezuela y en el que México tiene grandes
posibilidades de colgarse varias medallas.
También el evento, será selectivo para las categorías
juveniles para la olimpiada Nacional y para el selectivo para el Campeonato
Panamericano de pista que se tendrá en junio.
juveniles para la olimpiada Nacional y para el selectivo para el Campeonato
Panamericano de pista que se tendrá en junio.
Temas relacionados
Anuncio



